Home Page Log in Download Now About Us Contact Info
List of Earthquakes List of stations Basic Search of the Database Map Showing Earthquakes, stations Advanced Search of the Database


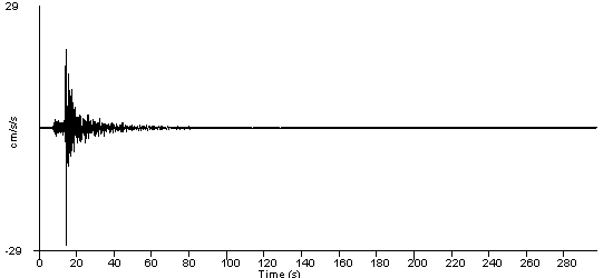
Acceleration

Station: Fontana, Arrow Hwy and Bennett Ave.
Station Owner: California Institute of Technology
Station Latitude & Longitude: 34.0996, -117.4388

Earthquake: La Habra Earthquake 2014-03-29 04:09:42 UTC

Hypocentral Distance: 48.2 km

(Use the back button on your browser to return to the previous page)



Component: Up Free field



Component: 360 Free field



Component: 90 Free field




Home + Login + Download + About Us + Contact
Earthquakes + stations + Search + Map + Advanced Search